From the Dutch East India Company's first share offering in 1602 to algorithmic trading executing millions of orders per second — four centuries of capital, crisis, and compounding returns.
The Dutch East India Company (VOC) issued shares to the public in Amsterdam, raising capital from ordinary citizens to fund spice trade voyages. The world's first publicly traded corporation was born.
The Amsterdam Beurs opened as the world's first formal stock exchange — providing a marketplace for secondary trading of VOC shares and government bonds. It introduced continuous trading, short selling, and options.
Dutch tulip bulb contracts reached extraordinary prices before collapsing in February 1637. History's first speculative bubble demonstrated the power of market psychology and herd behavior.
The South Sea Company's stock soared on promises of monopoly trade, then collapsed — wiping out fortunes across Britain. Parliament passed the Bubble Act, restricting joint-stock companies for over a century.



Twenty-four brokers signed the Buttonwood Agreement beneath a buttonwood tree on Wall Street, establishing rules for trading securities. This informal pact became the foundation of the NYSE.
The New York Stock & Exchange Board was formally constituted. It moved into its first permanent home at 40 Wall Street, solidifying New York's position as America's financial capital.
Jay Gould and James Fisk attempted to corner the US gold market, triggering a financial panic on September 24. Thousands of investors were ruined in hours when the government flooded the market with gold.
Charles Dow and Edward Jones launched their Industrial Average tracking 12 stocks, starting at 40.94 points. It became the world's most-watched financial index — a daily barometer of economic health that persists today.
The Federal Reserve Act established a central bank to manage US monetary policy. The Fed's dual mandate — price stability and maximum employment — would shape markets for the next century.
Black Thursday and Black Tuesday saw the Dow collapse 25% in two days. By 1932, the market had lost 89% of its value. The crash triggered the Great Depression and fundamentally changed financial regulation.
The Banking Act separated commercial and investment banking. The Securities Acts of 1933–34 created the SEC, requiring disclosure and honest dealing in securities markets.
WWII transformed capital markets. War bond drives brought millions of ordinary Americans into financial markets for the first time. The Dow began a decade-long recovery as wartime production boomed.



Benjamin Graham published the definitive text on value investing. His "margin of safety" framework became the intellectual foundation for an entire generation of investors including Warren Buffett.
Standard & Poor's expanded its market index to 500 companies, creating the benchmark that would define US equity performance for decades — and the foundation for trillions in index funds.
The world's first electronic stock market launched. Initially dismissed as second-tier, it would eventually host the most valuable companies on Earth — Apple, Microsoft, Amazon, Google, NVIDIA.
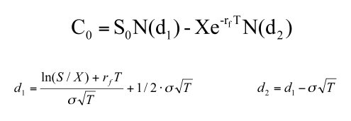
Fischer Black and Myron Scholes published their options pricing formula, giving traders a mathematical framework for derivatives. It earned a Nobel Prize in 1997 and spawned a multi-trillion dollar industry.
On October 19, 1987, the Dow Jones fell 22.6% in a single day — the largest one-day percentage drop in history. Circuit breakers were introduced afterward to halt trading during extreme volatility.
The SPDR S&P 500 ETF (SPY) launched — the first US-listed exchange-traded fund. It democratized index investing, allowing any investor to buy the entire S&P 500 in a single trade. SPY is now the world's most traded security.
Netscape's IPO ignited the dot-com boom. The NASDAQ rose 400% between 1995 and its peak in March 2000. Companies with no revenue commanded billion-dollar valuations. Greenspan warned of "irrational exuberance" — and was ignored.
Long-Term Capital Management — a hedge fund run by Nobel laureates — lost $4.6 billion and required a Fed-orchestrated bailout. It demonstrated that mathematical models cannot capture all market risks. A lesson forgotten by 2008.



The collapse of Lehman Brothers on September 15, 2008 triggered the worst financial crisis since 1929. The S&P 500 lost 57% from peak to trough. Central banks cut rates to zero — fundamentally altering the market landscape.
On May 6, 2010, the Dow plunged nearly 1,000 points in minutes before recovering — all triggered by algorithmic trading. The Flash Crash exposed the fragility of electronic markets and led to new circuit-breaker rules.
COVID-19 triggered the fastest bear market in history (35% drop in 33 days) followed by a stunning recovery. Zero-commission apps brought millions of new retail investors, culminating in the GameStop short squeeze of January 2021.
ChatGPT's viral launch ignited an AI investment frenzy. NVIDIA's market cap surpassed $3 trillion by 2024. The "Magnificent Seven" drove the majority of S&P 500 returns, concentrating the index to historic levels.
Machine learning models now analyze earnings calls, satellite imagery, and social sentiment in milliseconds. As AI systems trade against each other, new forms of volatility and flash events will challenge regulators and human traders alike.
Blockchain-based tokenization is enabling fractional ownership of real-world assets on 24/7 markets. BlackRock, Fidelity, and Goldman Sachs are building tokenized asset platforms, blurring TradFi and DeFi.
Index funds and ETFs now hold over 50% of all US equity assets. As passive investing reaches dominance, questions mount: who sets prices? Who monitors corporate governance? Systemic risks may be invisible to standard models.
The GameStop era showed coordinated retail investors can move markets and destroy hedge funds. Commission-free trading, social media, and AI-powered research tools are permanently elevating retail's market power.
From the Dutch East India Company's first share offering in 1602 to algorithmic trading executing millions of orders per second — four centuries of capital, crisis, and compounding returns.